Интернет выступает в роли фундамента сети (the Web), это та самая техническая структура, на которой в значительной степени держится Всемирная Паутина. Его сущность заключается в масштабной сети компьютеров, которые способны взаимодействовать между собой.

Точная история появления интернета окутана загадками. Все началось в 60-х годах прошлого века как исследовательская инициатива под эгидой министерства обороны США. Однако к 80-м годам сеть обрела совершенно новые масштабы благодаря активной поддержке университетов и частных организаций. Технологии, заложенные в основу интернета, не прекращали эволюционировать, но ключевая идея оставалась неизменной: возможность объединить компьютеры в единую сеть и обеспечить их взаимодействие даже в условиях крупных сбоев.


Основы сетей


Чтобы связать два компьютера, требуется создать между ними сеть. Это можно сделать проводным методом (обычно через Ethernet) или беспроводным (с использованием WiFi или Bluetooth). Современные компьютеры поддерживают оба варианта подключения.

Важно: Хотя в дальнейшей части статьи акцент будет сделан на проводное подключение, беспроводные сети функционируют по аналогичному принципу.

Сеть из 2 компьютеров

Подобным образом вы можете подключать больше двух компьютеров, но с каждым новым устройством сложность возрастает. К примеру, для объединения 10 компьютеров потребуется 45 кабелей и 9 сетевых карт для каждого!

Сеть из 10 компьютеров

Для преодоления данной проблемы используется специальное устройство - маршрутизатор. Как регулировщик на станции, маршрутизатор направляет информационные пакеты от компьютера-отправителя к получателю, гарантируя, что они не попадут в ненужное устройство. Компьютер A сначала передает сообщение маршрутизатору, а тот, в свою очередь, - компьютеру B.

С внедрением маршрутизатора наша сеть значительно упрощается: объединение 10 компьютеров теперь требует всего 10 кабелей, каждый из которых соединяет соответствующий компьютер с маршрутизатором.

Сеть с использованием маршрутизатора


Масштабирование сетей


Пока все просто. Но как поступить, если необходимо интегрировать в сеть сотни, тысячи или даже миллиарды компьютеров? Один маршрутизатор с такой нагрузкой не справится, но стоит помнить: маршрутизатор - это такой же компьютер, и ничто не мешает соединить его с ещё одним маршрутизатором. Именно так и поступим.

Сеть 2 сетей

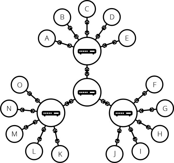
Подключая компьютеры к маршрутизатору и затем связывая маршрутизатор с другим, мы получаем возможность создавать сеть практически любых размеров.

Увеличенная сеть

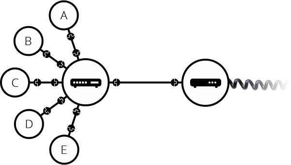
Такая сеть является прототипом того, что мы называем интернетом. Однако есть нюанс. Она учтена для решения наших задач, однако другие люди, такие как друзья или соседи, могут создавать свои сети. Как их интегрировать? Запустить кабели между домом и всеми остальными сетями невозможно. Решение кроется в использовании уже существующих кабельных ресурсов. В вашем доме есть телефонные или электрические кабели, соединяющие его с миром, что идеально подходит для нашей цели. Для подключения сети к глобальной сети через телефонный кабель, необходим модем. Он кодирует информацию вашей сети в формат, пригодный для телефонной передачи, и наоборот.

Сеть с использованием модема

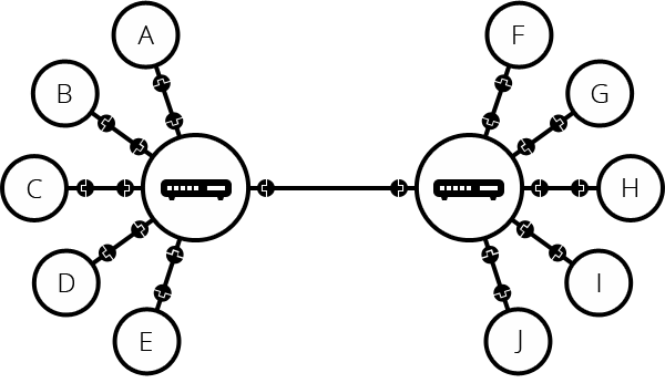
Подключившись к телефонной сети, следующим шагом становится передача сообщений из нашей сети в целевые сети. Это достигается подключением к Интернет-провайдеру (ISP). Провайдер управляет специальными маршрутизаторами, объединяющими всех его клиентов, и связанными с маршрутизаторами других провайдеров. Таким образом, сообщение прокладывает путь через несколько сетей провайдеров к финальной сети. Интернет - это гигантская структура, которая объединяет множество таких сетей.

Сеть с использованием провайдеров


Идентификация компьютеров в сети


Чтобы связаться с каким-то компьютером, нужен способ его уникальной идентификации. Каждое устройство в сети имеет собственный адрес, называемый IP-адресом (Internet Protocol). Формат адреса зависит от используемой версии протокола IP. Наиболее распространен протокол IPv4. IP-адреса этого типа выглядят как четыре числа, разделенные точками, например: 192.168.2.10.

Людям сложно запоминать такие номера, поэтому им присваивают более удобный вид - доменное имя. Это своеобразный псевдоним IP-адреса. Например, для IP-адреса 173.194.121.32 используется имя google.com. Таким образом, использование доменных имён облегчает взаимодействие с интернетом для людей.

Доменное имя и IP-адрес


Связь между Интернетом и вебом


Вы, возможно, заметили, что при посещении веб-сайтов в браузере, мы используем доменные имена для обращения к сайтам. Но означает ли это, что Интернет и Веб - это одно и то же? Далеко не факт. Интернет - это та самая платформа, обеспечивающая подключение миллиардов компьютеров. Среди них - веб-серверы, отсылающие сообщения, которые распознаются браузерами. Интернет - это инфраструктура, а Веб - это один из сервисов на этой основе. Помимо Веба существуют и другие сервисы: например, электронная почта или IRC.

Вопросы для самопроверки:

  1. Какую роль выполняет Интернет в структуре Всемирной Паутины?
  2. Каковы основные элементы, обеспечивающие соединение компьютеров в сети?
  3. Почему IPv4-адреса заменяются на доменные имена?
  4. Как связаны Интернет и Веб с точки зрения их функциональности?
  5. Каков процесс подключения компьютера к глобальной сети через провайдера?